如何求数列通项公式:[11]错项相减法
1、如等比数列的求和公式Sn
![如何求数列通项公式:[11]错项相减法](https://exp-picture.cdn.bcebos.com/01bd69f7980e5f204cf1a868bd20b93acc898ed7.jpg)
2、下面结合例题讲一讲。
例1
![如何求数列通项公式:[11]错项相减法](https://exp-picture.cdn.bcebos.com/5e615d715fdb3620abba3a3aabc5260f89358dd7.jpg)
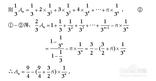
3、分绵低析题目,将x=1和x不等于1两种情况讨论。
x不等于1时,用错项相减法来求Sn
![如何求数列通项公式:[11]错项相减法](https://exp-picture.cdn.bcebos.com/5e9a2820b93acd893445d1bc0335dd8a58de8bd7.jpg)
![如何求数列通项公式:[11]错项相减法](https://exp-picture.cdn.bcebos.com/b87bd38920c5260f9eb52a39d2de4507890189d7.jpg)
![如何求数列通项公式:[11]错项相减法](https://exp-picture.cdn.bcebos.com/2184380f8835dd8a415eb2b403013870d44187d7.jpg)
4、例2
![如何求数列通项公式:[11]错项相减法](https://exp-picture.cdn.bcebos.com/8974c38a59de45079281cfc35e413a8ca70885d7.jpg)
![如何求数列通项公式:[11]错项相减法](https://exp-picture.cdn.bcebos.com/444696013870d541270c51bb2e0f94fc518c80d7.jpg)
![如何求数列通项公式:[11]错项相减法](https://exp-picture.cdn.bcebos.com/3bcdb808a50f94fc710c6c7d4cf88a775cddfcd7.jpg)
5、例3
![如何求数列通项公式:[11]错项相减法](https://exp-picture.cdn.bcebos.com/9a8fd9f88a775dddaecc12f9a427e7ef2906f9d7.jpg)
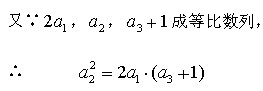
6、第一问可根据等差数各攀列爹调岔来计算出a1和d,从而求出an的通项公式
![如何求数列通项公式:[11]错项相减法](https://exp-picture.cdn.bcebos.com/e40b3127e7ef28064081656eb840b6f39087f2d7.jpg)
![如何求数列通项公式:[11]错项相减法](https://exp-picture.cdn.bcebos.com/3201a8f39187031ca840584f6a86242fa972ecd7.jpg)
![如何求数列通项公式:[11]错项相减法](https://exp-picture.cdn.bcebos.com/256eb672941fbee40c5a07edc1237971ff1de7d7.jpg)
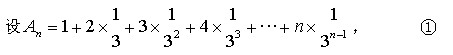
7、第二问可用错项相减法来处理
![如何求数列通项公式:[11]错项相减法](https://exp-picture.cdn.bcebos.com/ff5c88d818196120e74dfbdd70f202b374d7dfd7.jpg)
![如何求数列通项公式:[11]错项相减法](https://exp-picture.cdn.bcebos.com/03f26bd7997bbbf49dd885695549610f8a56d6d7.jpg)
![如何求数列通项公式:[11]错项相减法](https://exp-picture.cdn.bcebos.com/8a17b3042e6817e91e61f94bd356d53da924ced7.jpg)
![如何求数列通项公式:[11]错项相减法](https://exp-picture.cdn.bcebos.com/d9a8d2d2bb665159ddc0e7998fe23ea23b42c7d7.jpg)
阅读量:21
阅读量:150
阅读量:166
阅读量:187
阅读量:39
1、如等比数列的求和公式Sn
![如何求数列通项公式:[11]错项相减法](https://exp-picture.cdn.bcebos.com/01bd69f7980e5f204cf1a868bd20b93acc898ed7.jpg)
2、下面结合例题讲一讲。
例1
![如何求数列通项公式:[11]错项相减法](https://exp-picture.cdn.bcebos.com/5e615d715fdb3620abba3a3aabc5260f89358dd7.jpg)
3、分绵低析题目,将x=1和x不等于1两种情况讨论。
x不等于1时,用错项相减法来求Sn
![如何求数列通项公式:[11]错项相减法](https://exp-picture.cdn.bcebos.com/5e9a2820b93acd893445d1bc0335dd8a58de8bd7.jpg)
![如何求数列通项公式:[11]错项相减法](https://exp-picture.cdn.bcebos.com/b87bd38920c5260f9eb52a39d2de4507890189d7.jpg)
![如何求数列通项公式:[11]错项相减法](https://exp-picture.cdn.bcebos.com/2184380f8835dd8a415eb2b403013870d44187d7.jpg)
4、例2
![如何求数列通项公式:[11]错项相减法](https://exp-picture.cdn.bcebos.com/8974c38a59de45079281cfc35e413a8ca70885d7.jpg)
![如何求数列通项公式:[11]错项相减法](https://exp-picture.cdn.bcebos.com/444696013870d541270c51bb2e0f94fc518c80d7.jpg)
![如何求数列通项公式:[11]错项相减法](https://exp-picture.cdn.bcebos.com/3bcdb808a50f94fc710c6c7d4cf88a775cddfcd7.jpg)
5、例3
![如何求数列通项公式:[11]错项相减法](https://exp-picture.cdn.bcebos.com/9a8fd9f88a775dddaecc12f9a427e7ef2906f9d7.jpg)
6、第一问可根据等差数各攀列爹调岔来计算出a1和d,从而求出an的通项公式
![如何求数列通项公式:[11]错项相减法](https://exp-picture.cdn.bcebos.com/e40b3127e7ef28064081656eb840b6f39087f2d7.jpg)
![如何求数列通项公式:[11]错项相减法](https://exp-picture.cdn.bcebos.com/3201a8f39187031ca840584f6a86242fa972ecd7.jpg)
![如何求数列通项公式:[11]错项相减法](https://exp-picture.cdn.bcebos.com/256eb672941fbee40c5a07edc1237971ff1de7d7.jpg)
7、第二问可用错项相减法来处理
![如何求数列通项公式:[11]错项相减法](https://exp-picture.cdn.bcebos.com/ff5c88d818196120e74dfbdd70f202b374d7dfd7.jpg)
![如何求数列通项公式:[11]错项相减法](https://exp-picture.cdn.bcebos.com/03f26bd7997bbbf49dd885695549610f8a56d6d7.jpg)
![如何求数列通项公式:[11]错项相减法](https://exp-picture.cdn.bcebos.com/8a17b3042e6817e91e61f94bd356d53da924ced7.jpg)
![如何求数列通项公式:[11]错项相减法](https://exp-picture.cdn.bcebos.com/d9a8d2d2bb665159ddc0e7998fe23ea23b42c7d7.jpg)