彩虹全息图的制作:[2]
彩虹全息图的制作原理
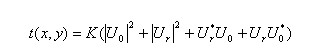
下面我们稍微定量地讨论基元彩虹全息图的记录与再现。由于分析的记录光路是线性的,若只考虑一个物点I0(x0,y0,芰垄孕动z0)即再现实像上的一点并不失去其普遍性。在记录过程中,令记录所用的单色光波长为λ,参考光的发散点是R(xr,yr,zr)。选择空间直角坐标系的x-y平面在记录干板的药膜面上,坐标原点与干板中心重合。如图4所示。设在记录干板上物光和参考光的复振幅分别是U0(x,y)和Ur(x,y),两者所形成的干涉图样的光强分布是
![彩虹全息图的制作:[2]](https://exp-picture.cdn.bcebos.com/40d2d0e8b004541b7782ba92869a310e1699a621.jpg)
(1)![彩虹全息图的制作:[2]](https://exp-picture.cdn.bcebos.com/e86ba4b842406afe6c99b9711eee41c1b6279f21.jpg)
上式*号表示共轭复数。假设记录过程是线性的,彩虹全息图的振幅透射率t (x,y)正比于I(x,y):
(2)![彩虹全息图的制作:[2]](https://exp-picture.cdn.bcebos.com/07c98f2ca5cadce829c54848fcf7980e5e209521.jpg)
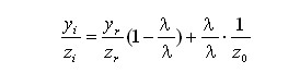
当处理好的虹全息图放回原记录位置,用波长为λ' ,发散点为R(xr,yr,zr)的单色光照明,就能再现出物点的全息像I(xI,yI,zI),物点与全息像点的关系由下面的式子给出:
(3)![彩虹全息图的制作:[2]](https://exp-picture.cdn.bcebos.com/423041db3620b93a0f046871ad0f8835dc8a8a21.jpg)
(4)![彩虹全息图的制作:[2]](https://exp-picture.cdn.bcebos.com/dccb47de45078801f2fd9df5b18ca608a40f8221.jpg)
从上面的式子很容易看出,当λ=λ' 时再现的全息像点与记录的物点位置重合。即再现光同参考光相同的情况下,原物点的再现波前将由公式(2)的第三项给出。
若在R(xr,yr,zr) 点放置波长为l1的点光源再现上述的虹全息图后,除了形成一般全息图所有的全息像点I01之外,还将形成一个与之相对应的狭缝实像IS1,如图5(a)所示。观察者看到全息像点I01' 的条件是瞳孔D落在从IS1出射的衍射光场中,而最佳的观察位置是D落在IS1处。这好比人们隔窗观景,越是靠近窗户景视场也越大。若用具有两个波长l1和l2的再现光源,这时再现光被虹全息图衍射成为两个空间错开颜色不同的全息像点I01、I02和与之对应的两个狭缝像IS1、IS2,如图5(b)所示。只要IS1和IS2分离的尺寸大于人眼瞳孔直径D,就可以通过IS1和IS2分别看到波长为l1和l2的两个全息像点I01和I02。将这一概念推广到点白光源照明虹全息图的情况。由于波长是连续变化的,每一波长都在不同的位置上形成它自己的全息点和相应的狭缝像。于是全息像点按光源的光谱弥散成了一条线段,狭缝的全息像也按光源的光谱弥散成为一个六面体,如图5(c)所示。在这种情况下,因瞳孔具有一定的线度D,在固定的观察位置上,观察者只能看到一个准单色l+Dl(Dl=l'-l)的全息像点,沿铅直方向改变观察位置,将相继地看到不同准单色的全息像点。
![彩虹全息图的制作:[2]](https://exp-picture.cdn.bcebos.com/51cd85cec7f88a778950c0f86e4a2f27e6eff821.jpg)
彩虹全息照相特点
虽然彩虹全息照相也是一种离轴透射式全息照相,但它与普通的离轴全息照相比较可找出它自己的特点。
1.记录特点和普通全息照相记录光路相比,彩虹全息照相光路中引入了一条狭缝,物光束必须经过狭缝才能到达记录干板上,因此狭缝(或像)相当于记录光路系统中的入射光瞳,它允许狭缝方向的物信息通过,使这个方向的视差被保留下来,而垂直于狭缝方向的物信息绝大部分被限制住,丢掉了垂直于狭缝方向的视差。在普通全息照相中,被记录物体上每点的信息均记录在整个全息图上,而在彩虹全息照相中,被记录物体上每点的信息在虹全息图上只是记录在对应的DH宽的区域内。所记录的干涉图样在平行于狭缝的方向上条纹的空间频率低,在垂直于狭缝的方向上条纹的空间频率高,而普通全息图的干涉条纹空间频率分布一般没有明显的方向性。
2.再现特点:彩虹全息照相能直接用一般白光再现是这种全息图的最大特点。亦即用某种波长的激光记录的虹全息图,在白光照明下,可再现出不同色彩的准单色全息像。由于被记录物体的信息均来自狭缝,根据光路的可逆性,再现的准单色全息像也将会聚于对应这种准单色的狭缝全息像,如图6所示。因而虹全息的再现像是十分明亮和鲜艳的。另外,使用非相干白光再现出的全息像的细腻程度变好,大大减小了普通全息照相用激光再现所带来的相干散斑噪声。但同时也引起了全息像某种程度的色模糊。这可通过记录光路中元件参数的选取上尽量克服。
![彩虹全息图的制作:[2]](https://exp-picture.cdn.bcebos.com/2947750192dd33406b7ed933881c99c0aefcf121.jpg)