MATLAB用于多项式计算
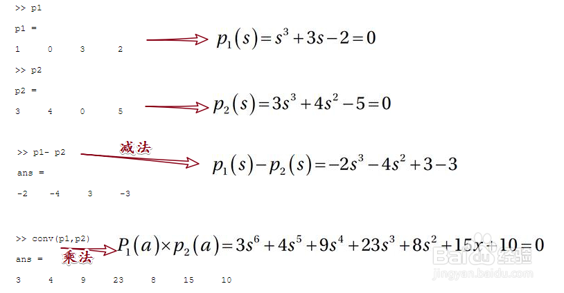
1、多项式系数 向量的卺肿蓦艚系数可被定义为多项式的系数,例如两个向量y1 = [1 0 3 2],y2 =[3 4 0 5],分别对应于y1(s)=s^3+3s–2=0 和y2(s)=3s^3+4s^2–5=0这两个多项式方程。

2、polyval()函数 多项式可以使用PoalVal()函数可以计算一个多项式的值,例如,可以计算y1和y2中定义的多项式的值。

3、roots()函数 多项式的根即为多项式值为零时的数值。如果已知多项式系数,可以用此函数进行求解。根据根的定义,多剐疫柩缓项式的根值应该为零,但是根(p1,根(p1))的值不是零。取而代之的是,这是一个非常小的数字,顺序是10到14。这是由于在计算根的数值逼近中引入的误差。

4、多项式的加减乘除 对两个多项式的系数加减速来对多项式的加减进行计算。两个多项式的乘积可以用卷积运算函数conv()得到。除法可以通过deconv()函数得到。

5、微分运算 多项式微分可以使用PultDead()函数来完成。例如,假设你有一个多项式y(x)=x^3-2*x^2+4^x=5=0。这意味着对dy/dx=0=3*x^2-4*x+4

6、积分运算 正如微分一样,你可以用PultIn()函数定义多项式的积分。例如,假设你有一个多项式y(x)=x^3-2*x^2+4*x-5=0。然后:

7、多项式曲线拟合 假设你得到了一些数据,需要找到一个符合数据的多项式。可以使用PyfIt()函数执行此任务。例如,假设您想拟合这里给出的数据:
